磐石市位于吉林省吉林市,地处长白山向松辽平原过渡的低山丘陵地区,第二松花江流域中游。域内两条重要水系辉发河与饮马河均是第二松花江的一级支流。全市面积在248 m2以上的水库、塘坝2,410个,水质检测重金属含量等指标全部达到国家地表I类水标准,水质优于国家渔业养殖水质标准,渔猎文化有千余年历史。磐石市是我国水库多、水质好,渔猎文化悠久具有代表性的县级单位,夏季气候凉爽,冬季冰封期长。磐石千塘鱼夏钓冬捕生态环境保护与可持发展案例数据集包括了案例区位置数据,辉发河与饮马河各级支流的水库和塘坝生态系统的特征,35个水库水质检测数据和鱼类品质检测数据,千塘鱼经营管理数据和相关影像。主要产出鳙、鲤、鲫、团头鲂、白鲢、鳜、翘嘴红鲌、花䱻等鱼类。该案例数据集储存为.shp、.xlsx、.docx及.jpg格式,数据量为33 MB。
磐石市是吉林省吉林市的一个县级市,下辖13个镇、1个乡、3个街道、2个省级经济开发区。地理坐标为42°39¢58²N-43°27¢13²N、125°38¢21²E-126°41¢6²E之间,总面积为3,861 km2(图1)。磐石市地处长白山向松辽平原过渡的低山丘陵区,第二松花江流域中游,海拔范围230–1,049 m,相对高差为819 m(图2)。气候受季风影响明显,四季分明,夏季温和多雨,冬季寒冷漫长[1–3]。得益于丰富的水面和漫长的冬季,磐石有夏季与冬季捕鱼的传统,其中适宜冬捕的时间为1月1-20日[4]。近年来,夏季避暑渔业和冰雪休闲渔业发展迅速,水产品产量8,400 t,其中鱼类8,310 t(苗种488 t)。为了促进磐石渔业可持续发展[5,6],本案例开发了磐石35个重点水库水产生境及主要水产类型数据集[7],并对渔业管理及渔业传统进行了分析。
《磐石千塘鱼夏钓冬捕生境保护与可持发展案例数据集》[7]元数据信息见表1。
表1 《磐石千塘鱼夏钓冬捕生境保护与可持发展案例数据集》元数据简表
| 条目 | 描述 |
|---|---|
| 数据集名称 | 磐石千塘鱼夏钓冬捕生境保护与可持发展案例数据集 |
| 数据集短名 | PanshiFishCase07 |
| 作者信息 | 刘闯 L-3684-2016,中国科学院地理科学与资源研究所,liuchuang@igsnrr.ac.cn 郭笑怡0000-0002-8651-615X,东北师范大学地理科学学院长白山地理过程与生态安全教育部重点实验室,guoxy914@nenu.edu.cn 刘艳辉,吉林省水产科学研究院,liuyanhui9@163.com 刘铁钢,吉林省水产科学研究院,ltg0322@163.com 戚武,磐石市人民政府,931300049@qq.com 王政文,磐石市农业农村局,1104335154@qq.com 乔云波,磐石市农业农村局,pssnyj@163.com 吴烽,磐石市供销投资集团有限公司,1055318092@qq.com 陈存华,磐石市农业农村局,294576808@qq.com 付晶莹,中国科学院地理科学与资源研究所, fujy@igsnrr.ac.cn 祝晓光,北京天航华创科技股份有限公司,18510867688@163.com |
| 地理区域 | 吉林省吉林市磐石市2,410个水库、塘坝(最小面积248 m2) |
| 数据年代 | 2001-2021 |
| 数据格式 | .shp、.xlsx、.docx、.jpg |
| 数据量 | 33 MB |
| 数据集组成 | 由5个子集构成:1_BND_StudyArea,案例区位置数据,2_PhysicalGeoData自然地理数据,3_CharacteristicsSpecies品种特性数据,4_ManagementData经营管理数据,5_Photos照片 |
| 基金项目 | 中科院院地合作项目 |
| 出版与共享服务平台 | 全球变化科学研究数据出版系统http://www.geodoi.ac.cn |
| 地址 | 北京市朝阳区大屯路甲11号100101,中国科学院地理科学与资源研究所 |
| 数据共享政策 | 全球变化科学研究数据出版系统的“数据”包括元数据(中英文)、通过《全球变化数据仓储电子杂志(中英文)》发表的实体数据集和通过《全球变化数据学报(中英文)》发表的数据论文。其共享政策如下:(1)“数据”以最便利的方式通过互联网系统免费向全社会开放,用户免费浏览、免费下载;(2)最终用户使用“数据”需要按照引用格式在参考文献或适当的位置标注数据来源;(3)增值服务用户或以任何形式散发和传播(包括通过计算机服务器)“数据”的用户需要与《全球变化数据学报(中英文)》编辑部签署书面协议,获得许可;(4)摘取“数据”中的部分记录创作新数据的作者需要遵循10%引用原则,即从本数据集中摘取的数据记录少于新数据集总记录量的10%,同时需要对摘取的数据记录标注数据来源[8] |
| 数据和论文检索系统 | DOI,CSTR,Crossref,DCI,CSCD,CNKI,SciEngine,WDS/ISC,GEOSS |
DOI: https://doi.org/10.3974/geodp. 2021.04.03
CSTR: https://cstr.escience.org.cn/CSTR: 20146.14.2021.04.03
数据可用性声明:
本文关联实体数据集已在《全球变化数据仓储电子杂志(中英文)》出版,可获取:
https://doi.org/10.3974/geodb.2021.12.42.V1或https://cstr.escience.org.cn/CSTR:20146.11.2021.12.42.V1.
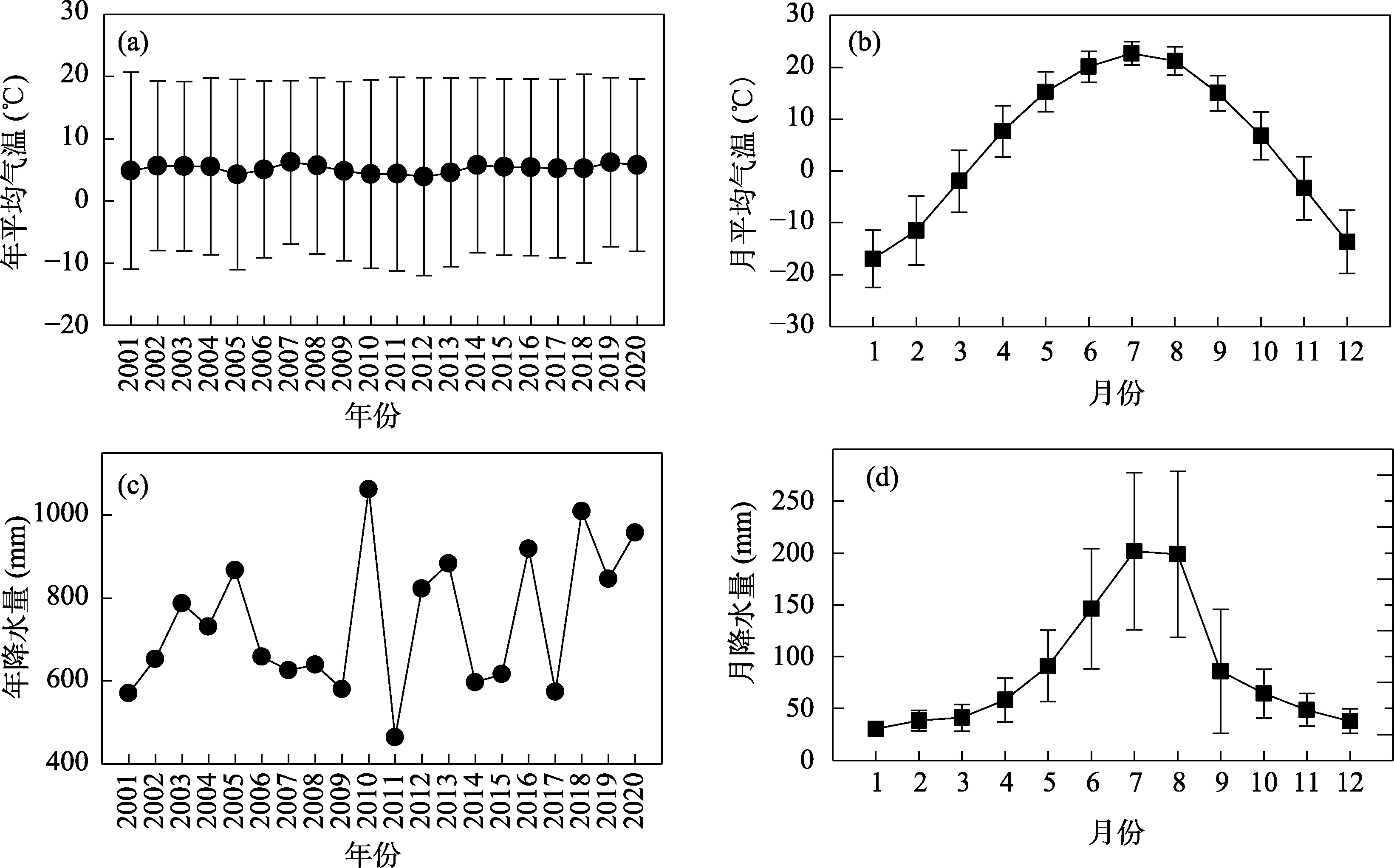
磐石地处中温带、湿润区,为具有大陆性的季风气候[1–3]。2001‒2020年气象数据显示(图3),年均温为5.2 ℃,1月为最冷月份,平均为‒16.9℃;7月为最热月份,平均22.7℃。年均降水量为743 mm,降雨主要集中在6–8月份,占全年降水量的60%以上。夏季自然降雨充沛,气温舒适,适宜开展休闲垂钓。严冬之际,水库、塘坝均有超过20天的冰封期,适宜开展冬捕活动。
磐石市地处辉发河和饮马河两大流域,以哈达岭为分水岭,两条河流均是第二松花江的一级支流[9](图4)。磐石市南部为辉发河流域,发源于辽宁省,自西向东流,域内河段长度为51.46 km,流域面积2,291 km2,占磐石面积的60%。磐石境内有39条河流注入,其中一级支流10条、二级支流21条、三级支流8条[4]。右岸主要支流有报马川河、大色力河;左岸主要支流包括挡石河、细林河、东石河、富太河、都力河、南朱奇河、呼兰河。另有拐子炕河、西孤顶子河、中富河、亮子河等二级支流。北部为饮马河流域,境内河长72.7 km,流域面积1,267 km2,一级和二级支流各12条[4]。有驿马河、倒木沟河、汶水河,八棵树河、砖庙河等汇入。其两岸多为低山丘陵,河道弯曲,河滩地较多。域内东北部属岔路河流域,发源自哈达岭山脉太平岭北侧,是饮马河重要支流,域内流域面积为257 km2。东部另有小部分属于八道河流域,最终在桦甸市汇入辉发河。
磐石市是个水库、塘坝分布众多的区域,面积在248 m2以上的水库、塘坝2,410个(图4)。磐石市水资源充沛,多年平均地表水径流量为8.05×108 m3,地下水资源量2.02×108 m3,多年平均入境水量为1.83×109 m3[9]。磐石建有中型水库4座(黄河水库、亚吉水库、柳杨水库和官马水库),适宜养鱼[4];小(Ⅰ)和小(Ⅱ)型水库分别有23座和133座[10]。2020年磐石市入选水利部第一批深化小型水库管理体制改革样板县(市、区)名单[11]。
依据《吉林省渔业区划》,磐石属吉林省中东部丘陵水库池塘养殖区,水中营养盐类和浮游生物丰富,水位适宜,越冬安全,以水库渔业为主[12]。磐石市水系均发源于长白山及其支脉,是长白山地区天然矿泉水资源分布区[13]。作者采集了35个代表性水库、塘坝的水质样本(表2、图5)[14–48],并由吉林省华科检测有限公司与中国科学院地理科学与资源研究所理化分析中心对水样进行检测(表3)。对比国家《渔业水质标准》(GB 11607—89)和《地表水环境质量标准》(GB 3838—83),水质指标全部达标,其中As、Cd、Cr等8种元素均达到Ⅰ类地表水(适用于源头水、国家自然保护区)标准。
表2 案例采集水样的水库、塘坝名称及其所属乡镇统计表
| 序号 | 水库名称 | 所在乡镇 | 序号 | 水库名称 | 所在乡镇 |
|---|---|---|---|---|---|
| 1 | 官马水库 | 呼兰镇 | 19 | 吕金水库 | 朝阳山镇 |
| 2 | 兴隆水库 | 牛心镇 | 20 | 老爷岭水库 | 石嘴镇 |
| 3 | 五四水库 | 牛心镇 | 21 | 萝卜地水库 | 石嘴镇 |
| 4 | 兰家水库 | 牛心镇 | 22 | 大色力水库 | 松山镇 |
| 5 | 乱川沟水库 | 牛心镇 | 23 | 人和水库 | 松山镇 |
| 6 | 东梨河水库 | 烟筒山镇 | 24 | 都力河南水库 | 红旗岭镇 |
| 7 | 凡石咀水库 | 烟筒山镇 | 25 | 东方红水库 | 红旗岭镇 |
| 8 | 大黑山水库 | 烟筒山镇 | 26 | 红土水库 | 福安街道 |
| 9 | 腰石水库 | 烟筒山镇 | 27 | 解放水库 | 明城镇 |
| 10 | 磐海水库 | 宝山乡 | 28 | 永兴水库 | 明城镇 |
| 11 | 后大营塘坝 | 宝山乡 | 29 | 河北水库 | 驿马镇 |
| 12 | 北大桥塘坝 | 宝山乡 | 30 | 仁合水库 | 驿马镇 |
| 13 | 南大桥水库 | 宝山乡 | 31 | 王家街水库 | 取柴河镇 |
| 14 | 柳杨水库 | 富太镇 | 32 | 五一水库 | 取柴河镇 |
| 15 | 马哈拉水库 | 吉昌镇 | 33 | 西大地水库 | 取柴河镇 |
| 16 | 南八棵水库 | 吉昌镇 | 34 | 大呼兰水库 | 黑石镇 |
| 17 | 亚吉水库 | 吉昌镇 | 35 | 仙人湖水库 | 磐石开发区 |
| 18 | 砖庙水库 | 吉昌镇 |
表3 案例区水样检测数据(以官马水库为例)统计表
| 检测指标 | 检测结果 | 检测指标 | 检测结果 | 检测指标 | 检测结果 |
|---|---|---|---|---|---|
| 砷 | 0 | 锌 | 0 | 氨氮(mg/L) | 0.378 |
| 镉 | 0 | 汞 | 0.000,04% | 六六六(mg/L) | 0.000,004 |
| 铬 | 0 | 色度(度) | 10 | 滴滴涕(mg/L) | 0.000,2 |
| 铜 | 0.000,2% | 嗅和味 | 无任何气味 | 亚硝酸盐氮(mg/L) | 0.004,9 |
| 镍 | 0.000,3% | 高锰酸盐指数(mg/L) | 4.2 | 总磷(mg/L) | 0.08 |
| 铅 | 0 | 总大肠菌群(MPN/L) | <20 | pH | 7.2 |
磐石市境内常见鱼类有花鲢(Aristichthysnobilis)(图6)、鲤鱼(Cyprinuscarpio)(图7)、白鲢(Hypophthalmichthys molitrix)(图8)、鲫鱼(Carassiusauratus)(图9)、团头鲂(Megalobramaamblycephala)(图10)、翘嘴红鲌(Erythroculterilishaeformis)(图11)、鳜鱼(Siniperca chuatsi)(图12)、花䱻(Hemibarbus maculatus)(图13)等[4]30几个品种[1]。
花鲢(Aristichthysnobilis),鲤科鳙属,又称鳙鱼,俗称胖头(图6)。花鲢为磐石市常见鱼类品种,是著名的四大家鱼之一,属于典型的滤食性鱼类。生活于水库的中上层,为温水性鱼类,从鱼苗到成鱼均以浮游动物为主食,兼食浮游植物和水体中的有机质等,是典型的浮游生物食性的鱼类。
鲤鱼(Cyprinuscarpio),鲤科鲤属(图7),属于典型的杂食性动物。对生存环境适应性很强,栖息于水体底层,性情温和,生命力旺盛,既耐寒耐缺氧。鲤鱼幼鱼主要摄食轮虫、甲壳类及小型无脊椎动物等。鲤鱼与草鱼、团头鲂、鲫鱼、花白鲢等混生。
白鲢(Hypophthalmichthys molitrix),鲤科鲢属(图8),是典型的滤食性鱼类。在水域的上层,以硅藻、绿藻等浮游植物为食。与鲂、鲤、草鱼、鲫等混生。
鲫(Carassiusauratus),鲤科鲫属(图9),是典型的杂食性动物。生活层次属底层鱼类,主要是以植物为食的杂食性鱼。在一般的情况下,都在水下游动、觅食、栖息。
团头鲂(Megalobramaamblycephala),鲤科鲂属,别名武昌鱼(图10),属草食性淡水鱼,体长165-456 mm,体侧扁而高,呈菱形,背部较厚,尾柄宽短。体呈青灰色,体侧鳞片基部浅色,两侧灰黑色,在体侧形成数行深浅相交的纵纹。鳍呈灰黑色。比较适合于静水性生活。平时栖息于底质为淤泥生长有沉水植物的敞水区的中、下层中。冬季喜在深水处越冬。
翘嘴红鲌(Erythroclterillishaeformis),鲤科鲌属(图11),为凶猛性肉食性鱼类,幼鱼以枝角类、桡足类和水生昆虫为食,成鱼以鱼、虾、螺、昆虫、幼虫和枝角类等为食。
鳜鱼(Sinipercachuatsi),是鮨科鳜属(图12),属肉食性淡水鱼。鳜鱼最为突出的生物学特性是凶猛肉食性,对饵料有较强的分辨能力,终生主要以活鱼虾为食,即使是刚开口的鱼苗,也要摄食其他鱼类的幼苗。长大后,除食活鱼外,还兼食虾类以及蝌蚪等。栖息于底质为有河蚌栖息的淤泥质水库、塘坝的中下层水域中。
花䱻(Hemibarbusmaculatus),鲤科䱻属,俗称吉勾鱼(图13),属于底层鱼类,喜在水体的中下层,以底栖动物为食,以水生软体动物为主,也食各种小鱼。是偏肉食性的杂食性鱼类。
本项研究中选择了35个水库、塘坝,平均水深在0.8-6 m之间,最深的水库可达12 m。水库分为泥底、沙底两种类型。其中沙底水库包括:磐海水库、吕金水库、大色力水库、东方红水库和河北水库。泥底水库(塘坝)包括:后大营塘坝、北大桥塘坝、南大桥水库、兴隆水库、五四水库、兰家水库、乱川沟水库、东梨河水库、凡石咀水库、大黑山水库、腰石水库、柳杨水库、吗哈啦水库、南八棵水库、亚吉水库、砖庙水库、老爷岭水库、萝卜地水库、人和水库、都力河南水库、红土水库、解放水库、永兴水库、仁和水库、官马水库、王家街水库、五一水库、系大地水库、大呼兰水库、仙人湖水库等30座。其他水生动物包括水獭、麝鼠、甲鱼、河蚌(图14)、林蛙、青蛙、河虾、田螺、耳螺和布螺等,水生植物有芦苇、蒲草和菱角等[4]。
2021年秋末,作者对捕捞的主要鱼样品做了品质检测。检测内容包括农药残留、禁用药物残留、重金属和营养成分四方面。鱼类品质数据由具有CMA认证资质的检测机构进行测试(表4)。由品质检测数据可知,本文中所有鱼类样品均无农药和禁用药物残留物质。对比《食品安全国家标准食品中污染物限量》,汞、铅、隔和铬的标准上限值分别为0.5 、0.1、0.5 和2 mg/kg,因此案例区所有鱼类产品的重金属含量均远低于该标准。营养物质检测数据显示,案例鱼肉湿重中蛋白质含量17.7%-23.6%、脂肪含量0.7%-3.2%、水分含量80%以下,必需氨基酸和鲜味氨基酸组成比例均接近理想蛋白要求的40%,氨基酸指数均在85分以上。作者对体型较大的鳙鱼和鲤鱼进行脂肪酸的检测,结果显示二者的多不饱和脂肪酸含量分别为0.59%和1.73 %,可提高食物中蛋白质的利用率。综上分析表明,案例区鱼肉为高蛋白、低脂肪,水分含量低,肉质鲜美,营养丰富且比例均衡,灰分(人体必需矿物质和微量元素)含量高(4.5%-6%),鲤鱼和鳙鱼的不饱和脂肪酸(EPA + DHA)含量分别为2.24%和3.94%,鱼肉品质优于池塘养殖同类品种。
表4 鱼类品质检测数据统计表
| 检测指标 | 鱼类名称 | |||||||||
|---|---|---|---|---|---|---|---|---|---|---|
| 鳙鱼 | 鲤鱼 | 白鲢 | 鲫鱼 | 鲂鱼 | 鳜鱼 | 翘嘴红鲌 | 花䱻 | |||
| 农药残留 | 六六六(μg/kg) | 0 | 0 | 0 | 0 | 0 | 0 | 0 | 0 | |
| 滴滴涕(μg/kg) | 0 | 0 | 0 | 0 | 0 | 0 | 0 | 0 | ||
| 禁用药物残留 | 孔雀石绿(μg/kg) | 0 | 0 | 0 | 0 | 0 | 0 | 0 | 0 | |
| 呋喃唑酮代谢物(μg/kg) | 0 | 0 | 0 | 0 | 0 | 0 | 0 | 0 | ||
| 呋喃西林代谢物(μg/kg) | 0 | 0 | 0 | 0 | 0 | 0 | 0 | 0 | ||
| 呋喃它酮代谢物(μg/kg) | 0 | 0 | 0 | 0 | 0 | 0 | 0 | 0 | ||
| 呋喃妥因代谢物(μg/kg) | 0 | 0 | 0 | 0 | 0 | 0 | 0 | 0 | ||
| 重金属残留 | 汞(mg/kg) | 0 | 0 | 0 | 0 | 0 | 0 | 0.018 | 0 | |
| 镉(mg/kg) | 0 | 0.007 | 0 | 0 | 0 | 0 | 0 | 0 | ||
| 铬(mg/kg) | 0.07 | 0.004 | 0.12 | 0.06 | 0.16 | 0.21 | 0.47 | 0.08 | ||
| 营养 成分 | 蛋白质(g/100g) | 17.7 | 23 | 19.5 | 18.8 | 23.6 | 22.2 | 21.1 | 20.6 | |
| 脂肪(g/100g) | 2.2 | 0.7 | 1 | 3.2 | 1.6 | 2.2 | 1 | 1 | ||
| 水分(g/100g) | 77.8 | 74.9 | 75.9 | 71.4 | 78.6 | 71.1 | 73.6 | 78.1 | ||
| 灰分(g/100g) | 4.2 | 5.5 | 4.8 | 4.2 | 3.9 | 4.4 | 4.3 | 4.3 | ||
| 氨基酸总量(g/100g) | 16.2 | 12.9 | 13.5 | 11.5 | 13.3 | 11.4 | 12 | 12.2 | ||
| 必须氨基酸总量 (g/100g) | 5.8 | 4.4 | 4.3 | 3.5 | 4.2 | 3.8 | 4 | 4 | ||
| 脂肪酸总量(g/100g) | 2.24 | 3.94 | ||||||||
| 饱和脂肪酸(g/100g) | 1.16 | 1.97 | ||||||||
| 单不饱和脂肪酸(g/100g) | 0.05 | 0.25 | ||||||||
| 多不饱和脂肪酸(g/100g) | 0.59 | 1.73 |
磐石市渔业户数1,425户,渔业人口5,625人,渔业从业人员2,367人。近年来,磐石市配备80名专业技术人员和200余名乡村水管巡查员,常年活跃在一线,承担着水库清洁卫生及日常养护等工作。2019年以来,磐石市财政落实水利工程管护经费257万元。磐石市渔业经济总产值16,893万元。磐石市一方面加强水产技术指导服务,确立水产养殖科技示范户,通过举办水产养殖技术培训班、现场观摩等活动强化技术水平;另一方面做好水生动物防疫监测及水产苗种产地检疫工作,确保渔业养殖安全生产。
磐石千塘鱼产品的销售与推广由磐石市供销投资集团有限公司负责,该公司于2021年6月11日成立,注册地址在磐石市经济开发区,主要股东包括磐石市供销合作社联合社、磐石北优农村综合服务专业合作联合社、磐石市慧农会计服务有限公司、磐石市吉高职业技能培训学校。磐石市供销投资集团有限公司以增加农民收入为根本任务,通过提高农民组织化程度,推进磐石市农业结构调整和农村经济发展,助力磐石乡村振兴。
磐石市2021年12月注册了磐石市千塘鱼商标(图15)。
为了更好的对鱼塘以及养殖周围环境进行监测和管理,项目组安装了12台中长期监测设备,包含10台生态监测站(图16)、1台水质监测站、1台监控站。监控的内容包含实时可见景观、气象要素、水质的自动识别和记录等。
捕鱼是一种古老的生活方式,松花江流域渔业文明以其悠久的传统,丰富的内涵源远流长[49]。在四万到七万年前的旧石器时代晚期,生活在第二松花江畔的东北先民已经开始使用简易工具进行捞取鱼虾[50]。在4,000多年前的新石器时代,松花江沿岸的肃慎(磐石在夏、商、周、秦时期为肃慎地)部落便使用鱼鳔、鱼叉、鱼钩等捕鱼工具。流域内的新石器时代遗址中发现骨制鱼钩和渔网坠等便是直接证据[50]。渤海国时期(698-926年),东北地区的部分鱼类成为向唐朝进献的贡品[50]。在辽金时期,渔业是王公贵族巡游活动的盛世。东北地区冬夏温差较大,水面普遍存在冰封期,因此促使了冬季捕捞渔的兴旺。冬季寒冷干燥,水面结冰,使流域内的冬捕成为一种重要的捕捞方式。契丹人很早就进行冬捕,在冰面上开凿小洞,并用诱饵钩鱼。契丹国王曾与王公大臣在第二松花江冰面上凿冰取鱼。康熙年间,山东移民开创了“梁子”冬捕法,即用柳条编成泊挡住沟口,水过鱼不过,待冬日结冰,水位下降便可捕鱼。此外,冬季还可以拉网捕鱼。捕鱼技术的改进为冬捕的盛行提供了契机,加之冬季冰面便于通行和产品易于保存,促进了冬捕文化和生活习俗在第二松花江上游的发展。
松花江流域悠久的渔猎文化的鼎盛时期是在清代。清代前期,吉林地区的渔业生产具有自然、封闭的特征。1657年,清政府在吉林市设置“打姓乌拉总管衙门”,负责名贵鱼类的捕捞作为王室贡品[50]。清中叶,关内大批移民不断迁入吉林地区,民间捕鱼生产日益增多,并有四季捕鱼的渔业户。清代末期,随着东北封闭的渔业逐步转化为民生产业,渔业资源得以更广泛的开发,为今天吉林的渔业开发奠定了基础。据1908年的不完全统计,吉林省各地共有专业渔户494户,渔船171只,年产鱼1,862,154斤[51]。据1913年的记载,辉发河流域的磐石、桦甸两县,年产鱼1.2万余斤[52]。近代化的渔业公司模式促进了渔业捕捞量的提升,流域内各地纷纷建立渔业公司[50]。
新中国成立以来,50年代,磐石市利用自然泡沼河和小水库水面发展渔业养殖,磐石镇公社还曾尝试稻田培育鱼种[12]。20世纪50年代末期,吉林省开始鲢、鳙、鲤等鱼类的人工繁殖研究,1966年技术攻关成功[53]。磐石县驿马公社于1968年在一座小水库放养42万尾鱼苗,获得较好的经济收益[12]。
为进一步传承磐石渔猎文化,中国科学院地理科学与资源研究所、中国地理学会、全球变化科学研究数据出版系统世界数据中心组织专家评审,评选磐石千塘鱼夏钓冬捕生态环境保护与可持续发展案例为“优质地理产品生境保护与可持续发展案例”,中国科学院地理科学与资源研究所葛全胜所长为该案例题字“磐石千塘鱼”(图17),并拟推动“磐石冬捕文化节”的创立。这些举措将磐石渔猎文化的传承和发扬光大推向一个新的高度。
磐石千塘鱼是磐石市基于数千水库、塘坝基础上养殖的优质地理产品,其特殊的地形、地貌、水质、品质和渔猎文化构成了磐石可持续发展的资源基石。随着国家“乡村振兴”战略的实施,保护好磐石如此优良的生态环境与可持续发展并举提出了新的要求。我们可喜地看到,磐石千塘鱼品牌建设、经营管理、生态环境现代化监测方面在践行“二山”发展理念方面迈出了坚实的步伐。但是,仍然有许多需要改进和增效的地方。
虽然国家在水产养殖有一系列国家标准,但是,与磐石千塘鱼密切相关的地方标准、企业标准等方面还不够具体,还需要下进一步细化。细化的内容包括:磐石千塘鱼水质检测标准、不同鱼种放养标准、捕捞标准、垂钓管理规范、生鲜活鱼分类标准、不同水库水域-水草(水生植物)管控标准,中型水库实行精养、粗养相结合管控标准,小型水面投饵施肥等精养标准等。
磐石千塘鱼基本采取自然野生生长为主。水库水域面积大小对渔业养殖的管理方式影响很大。在水域面积大于50亩的水库发展滤食性、草食性鱼类等增养殖,实现以渔控藻,以渔控草,以渔净水。进一步开展大水面中养殖鲢与鳙的研究,探索鱼-水-水生动植物生态系统生态平衡的机理和养鱼起到净化水质作用的平衡点,找出在水库中通过养鱼将水库中富营养化物质有效转化为优质的鱼肉蛋白,达到净化水质的目的同时获得经济效益。
磐石千塘鱼夏钓冬捕的渔猎文化始于数千年以前,盛誉于清代,丰富于现代。传承磐石的渔猎文化,并与生态旅游有机结合将是磐石渔猎文化发扬光大、促进区域可持续发展的有效途径。
[1] 付晶莹, 都兴林, 郑青松等. 吉林磐石兰家村大米永久基本农田生态地理环境保护与可持续发展案例研究[J]. 全球变化数据学报, 2021, 5(3): 275‒289. https://doi.org/10.3974/geodp.2021.03.06. https://cstr.
escience.org.cn/CSTR:20146.14.2021.03.06.
[2] 庞旭龙, 李博宇. 2017年磐石市气候特征综合分析[J]. 现代农业科技, 2018(22): 223-226.
[3] 李策, 张晔. 磐石市主要农业气象灾害类型及有效防御措施[J]. 黑龙江粮食, 2021(7): 109‒110.
[4] 磐石市地方志编撰委员会. 磐石市志(1991-2003)[M]. 长春: 吉林文史出版社, 2006.
[5] 吉林省农业农村厅, 吉林省生态环境厅, 吉林省水利厅等. 吉林省大水面生态渔业发展规划(2020-2025年)[R]. 2020.
[6] 刘闯, 龚克, 刘燕华等. “绿水青山就是金山银山”解题新机制——“优质地理产品生境保护与可持续发展”2021-2030十年行动计划正式启动[J]. 全球变化数据学报, 2021, 5(3): 237‒248. https://doi.org/10.3974/geodp.2021.03.03. https://cstr.escience.org.cn/CSTR:20146.14.2021.03.03.
[7] 刘闯, 郭笑怡, 刘艳辉等. 磐石千塘鱼夏钓冬捕生态环境保护与可持发展案例数据集[J/DB/OL]. 全球变化数据仓储电子杂志, 2021. https://doi.org/10.3974/geodb.2021.12.42.V1. https://cstr.escience.org.cn/
CSTR:20146.11.2021.12.42.V1.
[8] 全球变化科学研究数据出版系统. 全球变化科学研究数据共享政策[OL]. https://doi.org/10.3974/dp.
policy.2014.05 (2017年更新).
[9] 张经泾. 中小流域水资源配置研究——以磐石市为例[D]. 北京: 中国水利水电科学研究院, 2018.
[10] 张建军, 韩喜军. 磐石市水资源管理中亟待解决的问题[J]. 吉林水利, 2016(12): 38–39, 47.
[11] 吉林省水利厅运行管理与水库移民处. 水库除险加固与运行管护吉林磐石: 深化小型水库管理体制改革示范县创建全面提升小型水库管理水平[J]. 吉林水利, 2021(10): 2.
[12] 吉林省地方志编纂委员会. 吉林省志(卷十九/水产志)[M]. 长春: 吉林人民出版社, 1996.
[13] 董毅. 长白山玄武岩区天然矿泉水与地表水关系研究[D]. 长春: 吉林大学, 2020.
[14] 郭笑怡, 杨宇辉, 付晶莹等. 磐石冬捕渔猎点官马水库—全球变化数据大百科辞条[J/DB/OL]. 全球变化数据仓储电子杂志, 2021. https://doi.org/10.3974/geodb.2021.12.16.V1. https://cstr.escience.org.cn/
CSTR:20146.11.2021.12.16.V1.
[15] 郭笑怡, 刘海强, 付晶莹等. 磐石冬捕渔猎点兴隆水库——全球变化数据大百科辞条[J/DB/OL]. 全球变化数据仓储电子杂志, 2021. https://doi.org/10.3974/geodb.2021.12.26.V1. https://cstr.escience.org.cn/
CSTR:20146.11.2021.12.26.V1.
[16] 郭笑怡, 刘海强, 付晶莹等. 磐石冬捕渔猎点五四水库——全球变化数据大百科辞条[J/DB/OL]. 全球变化数据仓储电子杂志, 2021. https://doi.org/10.3974/geodb.2021.12.07.V1. https://cstr.escience.org.cn/
CSTR:20146.11.2021.12.07.V1.
[17] 付晶莹, 刘海强, 郭笑怡等. 磐石冬捕渔猎点兰家水库—全球变化数据大百科辞条[J/DB/OL]. 全球变化数据仓储电子杂志, 2021. https://doi.org/10.3974/geodb.2021.12.06.V1. https://cstr.escience.org.cn/
CSTR:20146.11.2021.12.06.V1.
[18] 郭笑怡, 刘海强, 付晶莹等. 磐石冬捕渔猎点乱川沟水库——全球变化数据大百科辞条[J/DB/OL]. 全球变化数据仓储电子杂志, 2021. https://doi.org/10.3974/geodb.2021.12.31.V1. https://cstr.escience.org.
cn/CSTR:20146.11.2021.12.31.V1.
[19] 郭笑怡, 黄福军,付晶莹等. 磐石冬捕渔猎点东梨河水库——全球变化数据大百科辞条[J/DB/OL]. 全球变化数据仓储电子杂志, 2021. https://doi.org/10.3974/geodb.2021.12.15.V1. https://cstr.escience.org.
cn/CSTR:20146.11.2021.12.15.V1.
[20] 郭笑怡, 黄福军, 付晶莹等. 磐石冬捕渔猎点凡石咀水库——全球变化数据大百科辞条[J/DB/OL]. 全球变化数据仓储电子杂志, 2021. https://doi.org/10.3974/geodb.2021.12.14.V1. https://cstr.escience.org.
cn/CSTR:20146.11.2021.12.14.V1.
[21] 郭笑怡, 黄福军, 付晶莹等. 磐石冬捕渔猎点大黑山水库—全球变化数据大百科辞条[J/DB/OL]. 全球变化数据仓储电子杂志, 2021. https://doi.org/10.3974/geodb.2021.12.32.V1. https://cstr.escience.org.cn/
CSTR:20146.11.2021.12.32.V1.
[22] 郭笑怡, 黄福军, 付晶莹等. 磐石冬捕渔猎点腰石水库——全球变化数据大百科辞条[J/DB/OL]. 全球变化数据仓储电子杂志, 2021. https://doi.org/10.3974/geodb.2021.12.40.V1. https://cstr.escience.org.cn/
CSTR:20146.11.2021.12.40.V1.
[23] 郭笑怡, 宋佳, 付晶莹等. 磐石冬捕渔猎点磐海水库——全球变化数据大百科辞条[J/DB/OL]. 全球变化数据仓储电子杂志, 2021. https://doi.org/10.3974/geodb.2021.12.08.V1. https://cstr.escience.org.cn/
CSTR:20146.11.2021.12.08.V1.
[24] 郭笑怡, 宋佳, 付晶莹等. 磐石冬捕渔猎点后大营水库——全球变化数据大百科辞条[J/DB/OL]. 全球变化数据仓储电子杂志, 2021. https://doi.org/10.3974/geodb.2021.12.09.V1. https://cstr.escience.org.cn/
CSTR:20146.11.2021.12.09.V1.
[25] 郭笑怡, 宋佳, 付晶莹等. 磐石冬捕渔猎点北大桥塘坝——全球变化数据大百科辞条[J/DB/OL]. 全球变化数据仓储电子杂志, 2021. https://doi.org/10.3974/geodb.2021.12.24.V1. https://cstr.escience.org.cn/
CSTR:20146.11.2021.12.24.V1.
[26] 郭笑怡, 宋佳, 付晶莹等. 磐石冬捕渔猎点南大桥水库——全球变化数据大百科辞条[J/DB/OL]. 全球变化数据仓储电子杂志, 2021. https://doi.org/10.3974/geodb.2021.12.37.V1. https://cstr.escience.org.cn/
CSTR:20146.11.2021.12.37.V1.
[27] 郭笑怡, 穆超, 付晶莹等. 磐石冬捕渔猎点柳杨水库——全球变化数据大百科辞条[J/DB/OL]. 全球变化数据仓储电子杂志, 2021. https://doi.org/10.3974/geodb.2021.12.39.V1. https://cstr.escience.org.cn/
CSTR:20146.11.2021.12.39.V1.
[28] 郭笑怡, 周楠, 付晶莹等. 磐石冬捕渔猎点吗哈啦水库——全球变化数据大百科辞条[J/DB/OL]. 全球变化数据仓储电子杂志, 2021. https://doi.org/10.3974/geodb.2021.12.28.V1. https://cstr.escience.org.cn/
CSTR:20146.11.2021.12.28.V1.
[29] 郭笑怡, 周楠, 付晶莹等. 磐石冬捕渔猎点南八棵水库——全球变化数据大百科辞条[J/DB/OL]. 全球变化数据仓储电子杂志, 2021. https://doi.org/10.3974/geodb.2021.12.17.V1. https://cstr.escience.org.cn/
CSTR:20146.11.2021.12.17.V1.
[30] 郭笑怡, 周楠, 付晶莹等. 磐石冬捕渔猎点亚吉水库——全球变化数据大百科辞条[J/DB/OL]. 全球变化数据仓储电子杂志, 2021. https://doi.org/10.3974/geodb.2021.12.18.V1. https://cstr.escience.org.cn/
CSTR:20146.11.2021.12.18.V1.
[31] 郭笑怡, 周楠, 付晶莹等. 磐石冬捕渔猎点砖庙水库——全球变化数据大百科辞条[J/DB/OL]. 全球变化数据仓储电子杂志, 2021. https://doi.org/10.3974/geodb.2021.12.33.V1. https://cstr.escience.org.cn/
CSTR:20146.11.2021.12.33.V1.
[32] 郭笑怡, 孙震, 付晶莹等. 磐石冬捕渔猎点吕金水库——全球变化数据大百科辞条[J/DB/OL]. 全球变化数据仓储电子杂志, 2021. https://doi.org/10.3974/geodb.2021.12.22.V1. https://cstr.escience.org.cn/
CSTR:20146.11.2021.12.22.V1.
[33] 郭笑怡, 段兴亮, 付晶莹等. 磐石冬捕渔猎点老爷岭水库——全球变化数据大百科辞条[J/DB/OL]. 全球变化数据仓储电子杂志, 2021. https://doi.org/10.3974/geodb.2021.12.21.V1. https://cstr.escience.org.
cn/CSTR:20146.11.2021.12.21.V1.
[34] 郭笑怡, 杨开君, 付晶莹等. 磐石冬捕渔猎点萝卜地水库——全球变化数据大百科辞条[J/DB/OL]. 全球变化数据仓储电子杂志, 2021. https://doi.org/10.3974/geodb.2021.12.35.V1. https://cstr.escience.org.
cn/CSTR:20146.11.2021.12.35.V1.
[35] 郭笑怡, 贾士军, 付晶莹等. 磐石冬捕渔猎点大色力水库——全球变化数据大百科辞条[J/DB/OL]. 全球变化数据仓储电子杂志, 2021. https://doi.org/10.3974/geodb.2021.12.12.V1. https://cstr.escience.org.
cn/CSTR:20146.11.2021.12.12.V1.
[36] 郭笑怡, 贾士军, 付晶莹等. 磐石冬捕渔猎点人和水库——全球变化数据大百科辞条[J/DB/OL]. 全球变化数据仓储电子杂志, 2021. https://doi.org/10.3974/geodb.2021.12.38.V1. https://cstr.escience.org.cn/
CSTR:20146.11.2021.12.38.V1.
[37] 郭笑怡, 姜海涛, 付晶莹等. 磐石冬捕渔猎点都力河南水库——全球变化数据大百科辞条[J/DB/OL]. 全球变化数据仓储电子杂志, 2021. https://doi.org/10.3974/geodb.2021.12.36.V1. https://cstr.escience.org.
cn/CSTR:20146.11.2021.12.36.V1.
[38] 郭笑怡, 姜海涛, 付晶莹等. 磐石冬捕渔猎点东方红水库——全球变化数据大百科辞条[J/DB/OL]. 全球变化数据仓储电子杂志, 2021. https://doi.org/10.3974/geodb.2021.12.11.V1. https://cstr.escience.org.
cn/CSTR:20146.11.2021.12.11.V1.
[39] 郭笑怡, 杨松颖, 付晶莹等. 磐石冬捕渔猎点红土水库——全球变化数据大百科辞条[J/DB/OL]. 全球变化数据仓储电子杂志, 2021. https://doi.org/10.3974/geodb.2021.12.13.V1. https://cstr.escience.org.cn/
CSTR:20146.11.2021.12.13.V1.
[40] 郭笑怡, 孙海峰, 付晶莹等. 磐石冬捕渔猎点解放水库——全球变化数据大百科辞条[J/DB/OL]. 全球变化数据仓储电子杂志, 2021. https://doi.org/10.3974/geodb.2021.12.25.V1. https://cstr.escience.org.cn/
CSTR:20146.11.2021.12.25.V1.
[41] 郭笑怡, 孙海峰, 付晶莹, 乔云波, 石瑞香, 刘闯. 磐石冬捕渔猎点永兴水库——全球变化数据大百科辞条[J/DB/OL]. 全球变化数据仓储电子杂志, 2021. https://doi.org/10.3974/geodb.2021.12.10.V1. https://cstr.escience.org.cn/CSTR:20146.11.2021.12.10.V1.
[42] 郭笑怡, 王艳明, 付晶莹等. 磐石冬捕渔猎点河北水库——全球变化数据大百科辞条[J/DB/OL]. 全球变化数据仓储电子杂志, 2021. https://doi.org/10.3974/geodb.2021.12.27.V1. https://cstr.escience.org.cn/
CSTR:20146.11.2021.12.27.V1.
[43] 郭笑怡, 王艳明, 付晶莹等. 磐石冬捕渔猎点仁合水库——全球变化数据大百科辞条[J/DB/OL]. 全球变化数据仓储电子杂志, 2021. https://doi.org/10.3974/geodb.2021.12.23.V1. https://cstr.escience.org.cn/
CSTR:20146.11.2021.12.23.V1.
[44] 郭笑怡, 杨开君, 付晶莹等. 磐石冬捕渔猎点王家街水库——全球变化数据大百科辞条[J/DB/OL]. 全球变化数据仓储电子杂志, 2021. https://doi.org/10.3974/geodb.2021.12.29.V1. https://cstr.escience.org.
cn/CSTR:20146.11.2021.12.29.V1.
[45] 郭笑怡, 杨开君, 付晶莹等. 磐石冬捕渔猎点五一水库——全球变化数据大百科辞条[J/DB/OL]. 全球变化数据仓储电子杂志, 2021. https://doi.org/10.3974/geodb.2021.12.19.V1. https://cstr.escience.org.cn/
CSTR:20146.11.2021.12.19.V1.
[46] 郭笑怡, 杨开君, 付晶莹等. 磐石冬捕渔猎点西大地水库——全球变化数据大百科辞条[J/DB/OL]. 全球变化数据仓储电子杂志, 2021. https://doi.org/10.3974/geodb.2021.12.20.V1. https://cstr.escience.org.
cn/CSTR:20146.11.2021.12.20.V1.
[47] 郭笑怡, 张亮, 付晶莹等. 磐石冬捕渔猎点大呼兰水库——全球变化数据大百科辞条[J/DB/OL]. 全球变化数据仓储电子杂志, 2021. https://doi.org/10.3974/geodb.2021.12.34.V1. https://cstr.escience.org.cn/
CSTR:20146.11.2021.12.34.V1.
[48] 郭笑怡, 张智新, 付晶莹等. 磐石冬捕渔猎点大榆树水库——全球变化数据大百科辞条[J/DB/OL]. 全球变化数据仓储电子杂志, 2021. https://doi.org/10.3974/geodb.2021.12.30.V1. https://cstr.escience.org.
cn/CSTR:20146.11.2021.12.30.V1.
[49] 金宝忱. 吉林省三江流域渔业习俗初探[J]. 黑龙江民族丛刊, 1992(2): 114‒118.
[50] 孙瑜. 论伪满时期日本对中国东北淡水渔业的控制与掠夺[J]. 中国农史, 2018, 37(2): 77‒86.
[51] 衣保中. 东北农业近代化研究[M]. 长春: 吉林文史出版社, 1990.
[52] 衣保中. 中国东北农业史[M]. 长春: 吉林文史出版社, 1993.
[53] 水利部松辽水利委员会. 松花江志(第四卷)[M]. 长春: 吉林人民出版社, 2003.
案例首席:刘闯
刘闯现任中国科协“科创中国”优质地理产品生境保护与可持续发展专业科技专家团首席专家,中国科学院地理科学与资源研究所研究员、学术期刊中心副主任、全球变化科学研究数据出版系统世界数据中心主任、《全球变化数据学报(中英文)》执行副主编兼编辑部主任,《全球变化数据仓储电子杂志(中英文)》主编、中国地理学会大数据工作委员会秘书长,中国科协联合国谘商信息通信委员会委员,中国大数据专家委员会委员,中国互联网治理专家委员会委员,数据安全共同体计划专家。刘闯于1982年获得辽宁师范大学地理系学士学位,1984年获得陕西师范大学地理学硕士学位,1989年获得北京大学地理学博士学位。刘闯博士于1989-1991年任北京大学地理系副教授,1992-1993年任加拿大哥伦比亚大学地理系访问教授,1994-1998年任美国国家航空航天局国际地球科学信息网络中心信息科学家。1998年9月-2009年在中科院(综考会2000之前)地理资源所全球变化信息研究中心主任、研究员,博士生导师,兼任北京师范大学资源学院世界地理研究所所长。2009年退休同时被返聘任中科院地理资源所研究员,2017年起任现职。刘闯近5年来出版了150多套与全球变化、世界地理相关的数据集,她领衔创立的全球变化科学研究数据出版系统被评为中国2017年大数据最佳50案例之一,2018年、2021年二次获得联合国世界信息峰会奖(电子科学组冠军奖),2002年领衔创立国际科学技术数据委员会发展中国家任务组,领导发展中国家科学数据共享工作20年,2008年获国际科学技术数据奖(CODATA Prize)。
郭笑怡 东北师范大学地理科学学院长白山地理过程与生态安全教育部重点实验室, 副教授
刘艳辉 吉林省水产科学研究院,研究员
刘铁钢 吉林省水产科学研究院,副研究员
戚 武 磐石市人民政府,副市长
王政文 磐石市农业农村局,局长
乔云波 磐石市农业农村局,副局长
吴 烽 磐石市供销投资集团有限公司,总经理
陈存华 磐石市农业农村局,科长
付晶莹 中国科学院地理科学与资源研究所,副研究员
祝晓光 北京天航华创科技股份有限公司,总经理
刘闯对数据集的开发做了总体设计,郭笑怡撰写了数据论文;刘艳辉和刘铁钢进行了鱼类特性数据分析;戚武、王政文统筹各水库水质、鱼类质量规范和组织协调;乔云波、陈存华、付晶莹负责野外水质采样等内容数据;吴烽负责推广经营方面的数据搜集;祝晓光提供并处理了关键的实时监测数据。刘闯完成了数据和论文的最后审核。
刘闯对数据集的开发做了总体设计,郭笑怡撰写了数据论文;刘艳辉和刘铁钢进行了鱼类特性数据分析;戚武、王政文统筹各水库水质、鱼类质量规范和组织协调;乔云波、陈存华、付晶莹负责野外水质采样等内容数据;吴烽负责推广经营方面的数据搜集;祝晓光提供并处理了关键的实时监测数据。刘闯完成了数据和论文的最后审核。